齒輪減速機變速機介紹-齒輪減速機變速機的類型和機制
2019年07月31日 |
閱讀次數:2328齒輪減速機變速機是變速機的代表性示例,并且目前使用的單元可以根據齒輪的類型,軸的位置和齒輪的布置分為:
(1)具有平行軸的齒輪減速機變速機
(2)具有正交軸的齒輪減速機變速機
(3)具有垂直非交叉軸的齒輪減速機變速機
(4)具有同軸軸的齒輪減速機變速機
具有平行軸的齒輪減速機變速機的類型和機構
帶平行軸的齒輪減速機變速機使用正齒輪,斜齒輪或人字齒輪。它們的輸入和輸出軸是平行的。關于減速比,一級軸為1 / 1-1 / 7,兩級軸為1 / 10-1 / 30,三級軸為1/5-1 / 200。具有平行軸的齒輪減速機變速機的一般特性如下:
對于高精度齒輪,傳動效率非常高。(單級齒輪減速機變速機98%至95%)
適當潤滑后,可長時間使用。
當使用標準化齒輪時,可以相對便宜地生產。
帶正齒輪的齒輪減速機變速機用于提高速度。
帶正齒輪的齒輪減速機變速機的尺寸通常很大。與具有相同速比的蝸輪減速機相比,它們的外形很大,并且部件的數量增加導致結構上的缺點。因此,它用于負載側具有高旋轉的機器,或者需要比原動機更高的輸出旋轉(用于提高速度)。齒輪類型如表2.1所示。
具有平行軸的齒輪減速機變速機通常使用斜齒輪。它們用于鋼鐵設備,船舶,起重機,電梯和輸送機。對于自動化機器而言,這些齒輪減速機變速機也已經用于齒輪減速機變速機,該齒輪減速機變速機是具有直接連接的電動機的齒輪減速機變速機。
表2.1 帶平行軸的齒輪減速機變速機的特性

具有正交軸的齒輪減速機變速機的類型和機構
具有正交軸的齒輪減速機變速機也稱為錐齒輪減速機變速機,其輸入軸和輸出軸是垂直的。所使用的齒輪包括直齒錐齒輪,螺旋錐齒輪,螺旋錐齒輪,Zerol錐齒輪,端面齒輪和冠齒輪。具有正交軸的齒輪減速機變速機通常用作現場的動力分支裝置。
具有正交軸的齒輪減速機變速機的精度小于具有平行軸的齒輪減速機變速機。特別是,僅在一側支撐的小齒輪易于偏轉,由于導致不良的齒接觸而導致傳動效率稍低(98%)。直齒錐齒輪減速機變速機適用于1000rpm以下的慢速旋轉,標準化的減速比為1:1和1:2。
此外,與直齒錐齒輪減速機變速機相比,螺旋錐齒輪減速機變速機的嚙合比大,適用于高負荷和高速旋轉。通常,一級的減速比限制為1:6。表2.2顯示了錐齒輪減速機變速機的齒輪。
具有傾斜軸的齒輪減速機變速機的類型和機構
輸入軸和輸出軸偏移并且彼此正交的齒輪減速機變速機通常使用準雙曲面齒輪或蝸輪。特別是,蝸輪已經被用于長時間降低速度,并且目前仍然經常使用。其中使用的齒輪的特性如表2.3所示。這些減速器的顯著特點如下:
單級中的高減速比減小范圍在1:5和1:100之間。如果組合兩個蝸輪減速器,則可以獲得1:10,000的減速比。
減少噪音和振動
蝸輪蝸桿產生的噪音和振動較小,主要是滑動接觸。利用這種特性,蝸輪減速器已被用于驅動源。然而,由于傳動效率差,它們已被具有正交軸的齒輪減速機變速機所取代,例如使用準雙曲面齒輪或平行軸,如下所述。
輸入軸和輸出軸成直角
即使集成到齒輪箱中且零件尺寸較小,零件也較少,從而節省了安裝區域。
自鎖特性
當減速比高時,可能無法通過使用輸出軸(蝸輪)轉動輸入軸(蝸桿)(這稱為自鎖)。實際上,絕dui自鎖是困難的。另一方面,在凸輪機構的情況下,該特性更有效,其中在以一種方式旋轉的同時施加正方向負載和負方向負載。
傳動效率低
蝸輪傳動裝置的摩擦損失很大,因為它們使用滑動觸點。因此,傳輸效率低并且根據超前角大范圍變化。(當超前角為5°至40°時,傳輸效率為60%至95%。)當超前角接近15°時傳輸效率的快速下降是它們的缺點。(見圖2.1)。
溫度快速升高
除了沿齒廓滑動外,蝸輪齒輪沿著齒跡滑動。由于沿著齒痕的滑動非常大,如果沿齒痕的齒接觸很短,則產生高表面壓力并且潤滑油膜可能破裂。當嚙合點的溫度高并且使用礦物油時,90℃被認為是外殼上的允許溫度的極限。
表2.2 帶正交軸的齒輪減速機變速機的特性

表2.3 帶歪斜軸的齒輪減速機變速機的特性


圖2.1 蝸輪的傳動效率
垂直軸:傳輸效率(%)
水平軸:超前角(r)
具有同軸的齒輪減速機變速機的類型和機構
同軸型也稱為行星齒輪型,其分為(1)簡單行星齒輪,(2)差動行星齒輪,(3)偏心行星齒輪,和(4)彈性行星齒輪。
先前討論的具有平行軸或正交軸的齒輪減速機變速機都具有圍繞固定軸旋轉的齒輪。
如圖2.2所示,行星齒輪減速機變速機由圍繞固定軸(稱為太陽齒輪)旋轉的齒輪和圍繞太陽齒輪(稱為行星齒輪)旋轉的嚙合齒輪組成。
輸入和輸出齒輪可以同心地安裝在行星齒輪減速機變速機中以獲得高扭矩和效率,但據說必須將功率同等地傳遞到三個行星齒輪以zui大化它們的能力。
圖2.3顯示了一種簡單的行星齒輪減速機變速機。在這種緊湊型齒輪減速器中,三到五個行星齒輪與內齒輪嚙合,并將來自輸入太陽齒輪的動力傳遞到多個分支。
如果負載均勻地分布在理想圖像中,則與具有一個小齒輪和一個大齒輪的普通齒輪減速機變速機相比,可以傳遞一個齒輪的力乘以行星齒輪的數量。盡可能均勻地分配力量是設計者面臨的挑戰,并且已經開發出各種均分配機制并投入實際應用。
圖2.4顯示了TRIRED齒輪減速機變速機的結構。一個小齒輪浮動并支撐在三個大齒輪的中xin以平衡嚙合反作用力,使得力分支成三個方向。

圖2.2 行星齒輪減速機變速機的基本結構
1.固定軸/ 2.太陽齒輪/ 3.臂(旋轉支撐架)/ 4.行星齒輪

圖2.3 簡單行星齒輪減速機變速機的結構示例
1.慢軸/ 2.慢軸蓋/ 3.殼體/ 4.內齒輪/ 5.行星齒輪軸承/ 6.行星齒輪/ 7.關節蓋/ 8.太陽齒輪/ 9.高速側蓋/ 10.高速軸

圖2.3 簡單行星齒輪減速機變速機的結構示例(負載的分配)

圖2.4 TRIRED齒輪減速機變速機的結構

圖2.4 TRIRED齒輪減速機變速機的結構(負載的分配)
(1)明業機械齒輪減速機變速機的結構
正常外齒輪中只有一個或兩個齒隨時傳遞力。下一對齒應在前一對完成嚙合之前開始嚙合,以平穩地旋轉齒輪。通過使更多的齒同時嚙合,可以增加力傳遞能力。對于相同的運動傳輸,該裝置比其他裝置更緊湊。明業機械減速器就是這種類型的一個例子。

圖2.5 環形齒輪減速機變速機的結構(齒數差:1)
1。外銷/ 2.曲板/ 3.偏心體/ 4.e(偏心量)/ 5.內銷(帶內輥)
如圖2.5所示,該齒輪減速機變速機是一種偏心差動行星齒輪減速器,其中固定內部太陽齒輪采用圓弧齒形(外銷)與行星齒輪相結合,具有次擺線光滑彎曲齒形(曲面板)的差異牙齒數量為1。
Cyclo齒輪減速機變速機具有大量同時嚙合的齒,并且由于其緊湊的尺寸,可以很好地抵抗過載和沖擊負荷。
(2)循環齒輪減速機變速機原理
圖2.6顯示了內部接觸式行星齒輪減速機變速機的機構。假設內部太陽齒輪的齒數為S,行星齒輪的齒數為P.角速度ω1和ω2的關系根據行星齒輪理論用下式表示:
ω2/ω1= 1 - S / P = - (SP)/ P.
假設S - P = 1(齒數差異:1),
ω2/ω1= -1 / P.
例如,在圖2.6中,假設固定的內部太陽齒輪的齒數是S = 51,并且行星齒輪的齒數是P = 50。然后理論上,使用兩個正齒輪可以獲得1/50的非常大的減速度。
然而,由于一般漸開線齒形會產生齒尖干涉,因此不可能有效地利用具有一個齒差的該機構。該問題的解決方案是圖2.7中所示的單齒差行星齒輪機構。這種內部接觸式行星齒輪利用圓弧齒形內齒輪和平滑的次擺線型曲線行星齒輪,導致無齒尖干涉和同時嚙合的大量齒。
接下來,圖2.8顯示了等速內齒輪機構。
在該機構中,行星齒輪(彎曲板)的中xin圍繞輸入軸以高速(ω1)旋轉,同時其主體以低速(ω2)旋轉。如圖2.8所示,通過組合圓弧齒形提取慢速旋轉的這種結構是等速內齒輪機構。最終,行星齒輪減速機變速機(彎曲板)的旋轉可以通過內銷從輸出軸取出。由于內銷均以曲柄軸(輸入軸)的同心圓為中xin位于中xin位置,因此它們可以直接安裝在輸出軸上,形成輸入軸(高速軸)和輸出軸(高速軸) )同心。
明業機械齒輪減速機變速機巧妙地將這兩種機構結合在一起,并在圓弧齒廓上使用滾子,如圖2.9所示。

圖2.6 內接觸式行星齒輪原理
1.曲柄(K)/ 2.旋轉輸入軸/ 3.旋轉行星齒輪(曲柄)/ 4.行星齒輪(P)/ 5.固定內太陽齒輪(S)

圖2.7 一個齒差內嚙合型行星齒輪的機構
1. 行星齒輪的旋轉角速度/ 2.曲柄的旋轉角速度/ 3.曲軸/ 4.行星齒輪(P)/ 5.固定內部太陽齒輪(S )

圖2.8 等速內齒輪機構
1. e(偏心量)/2.2e(偏心量的兩倍)/ 3.行星齒輪(彎板)/ 4.內銷

圖2.9 明業機械齒輪減速機變速機結構
1. e(偏心量)/2.2e(偏心量的兩倍/ 3.內銷(帶內輥)/ 4.偏心體/ 5.彎板/ 6.外銷(帶)外輥)
(3)明業機械齒輪減速機變速機的特性
由于輸入軸和輸出軸是同心的,因此可以直接連接電機。
小巧輕便
與蝸輪類型相比,使用更多零件,但尺寸緊湊
強大的抗過載和沖擊負荷
通常,對于漸開線齒輪,同時嚙合的齒數是一個或兩個。另一方面,同時嚙合的Cyclo減速器的齒數理論上約為彎曲板(行星齒輪)的齒數的一半。據信實際值接近該理論量。因此,明業機械齒輪減速機變速機的結構對于其尺寸的抗沖擊和過載非常強
比蝸輪減速器更好的傳動效率
由于其結構,齒形嚙合使得滾動接觸使其在一個階段產生大約98%的傳動效率,甚至在三個階段它可以達到約94%
大減速比
對于速比,一級zui高可達1:119,兩級zui高可達1:7579。通過使用三到六個階段,可以獲得驚人的減少率1 /數十億
(4)行星齒輪減速機變速機的計算示例
行星齒輪減速機變速機具有一對嚙合齒輪,其中兩個齒輪旋轉,而一個齒輪圍繞另一個齒輪的軸線旋轉。
安裝在固定軸(中xin軸)上的外齒輪是太陽齒輪(齒輪繞固定軸旋轉),并且其軸繞太陽齒輪旋轉的嚙合齒輪是行星齒輪。
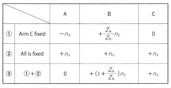
考慮圖2.10所示的行星齒輪減速機變速機裝置的情況,其中行星齒輪B(齒數= Zb)圍繞固定的太陽齒輪A(齒數= Za)在其自身中xin旋轉時旋轉(旋轉數= nc)(旋轉次數= nb)。
當臂C固定且太陽齒輪A和行星齒輪B嚙合時,讓太陽齒輪A逆時針旋轉( - ),則太陽齒輪A,行星齒輪B和臂C的旋轉為:
太陽齒輪A =( - )nc
行星齒輪B =(+)Za / Zb x nc
臂C = 0
(見圖2.11)
當太陽齒輪A,行星齒輪B和臂C各自固定時,讓太陽齒輪A順時針(+)旋轉,則太陽齒輪A,行星齒輪B和齒輪C的旋轉為:
太陽齒輪A =(+)nc
行星齒輪B =(+)nc
臂C =(+)nc
(見圖2.12)
因此,旋轉行星齒輪B在其自身軸上旋轉的同時圍繞固定太陽齒輪A旋轉的行星齒輪裝置的轉數是1和2中的轉數之和。(表2.4)
結果,如果太陽齒輪固定并且當臂C旋轉時A = 0,則行星齒輪B的轉數是nb =(1 + Za / Zb)nc。
讓我們給出這個表達式的一些條件。在圖2.10中,當臂C(旋轉支撐架)向右旋轉一次時,行星齒輪B旋轉了多少次?假設太陽齒輪A的齒數Za為80,而行星齒輪B的齒數Zb為40。
行星齒輪B的轉數nb為:
nb
=(1 + Za / Zb)nc
=(1 + 80/40 )X1 = 3
因此,它向右旋轉三次。

圖2.10 行星齒輪裝置

圖2.11 臂C固定,A順時針旋轉

圖2.12 全部固定,A順時針旋轉
表2.4 齒輪減速機變速機計算















